TỔNG KHO CÁP ĐIỆN

Nhà phân phối chính thức dây & cáp điện, phụ kiện, đèn chiếu sáng: Cadisun, LSvina, GoldCup, Cadivi, Trần Phú, Thiết bị điện Hyundai, Thiết bị điện Schneider, Đèn chiếu sáng Duhal, Đèn chiếu sáng Paragon
HOTLINE: 090.215.2222

Cách đấu motor 3 pha thành 1 pha

Cách đấu motor 3 pha thành 1 pha sẽ hoạt động được tốt trong trường hợp mà động cơ 3 pha trong khi nguồn điện cấp chỉ là nguồn 1 pha. Bạn đang phân vân không biết đấu động cơ điện 3 pha vào mạng điện gia đình 220V. Bài viết sau đây, sẽ chia sẻ những kiến thức quan trọng để có thể sử dụng được motor điện 3 pha trong điện lưới 1 pha.
Trên thực tế thì động cơ 3 pha có thể làm việc được ở lưới điện 1 pha như những loại động cơ điện 1 pha khi sử dụng tụ điện mở máy động có thể đạt tới 80% công suất định mức. Nhưng người ta thường áp dụng đối với động cơ 3 pha có công suất nhỏ dưới 2kW. Khi đó mỗi động cơ đều cần phải chọn 1 sơ đồ có trị số tụ điện cho phù hợp.

Nguyên tắc chuyển đổi các cuộn dây 3 pha sang hoạt động 1 pha

Điện áp đinh mức trên cuộn dây không đổi
Cần đặt 1 trong 2 cuộn dây pha thành cuộn làm việc, cuộn còn lại thành cuộn khởi động
Trị số tụ điện phải chọn sao cho góc lệch pha giữa dòng điện cuộn làm việc và khởi động đạt 900.
Các sơ đồ nguyên lý chuyển đổi đấu motor 3 pha thành 1 pha
Theo như nguyên tắc trên, tùy theo điện áp nguồn và điện áp định mức của cuộn dây, ta chọn 1 trong 4 sơ đồ sau:
Sơ đồ hình 1 và hình 3 được áp dụng cho những trường hợp điện áp lưới UL= UphaĐC
Sơ đồ hình 2 và hình 4 được áp dụng cho trường hợp điện áp lưới UL=Udây ĐC

Ví dụ: một động cơ 3 pha có nhãn điệu D/Y – 220/380v

Nếu như điện áp nguồn cung cấp cho động cơ là 220V thì sau khi đấu thành 1 pha ta sẽ chọn sơ đồ hình 1 và hình 3.
Nếu như nguồn cung cấp cho động cơ là 380V thì sau khi đấu thành 1 pha, ta sẽ chọn sơ đồ hình 2 và hình 4.
Cách đấu motor 3 pha thành 1 pha
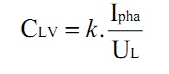
Tính chọn trị số tụ điện làm việc (tụ ngâm) và tụ khởi động theo công thức
Bước 1: tính điện dung tụ điện làm việc
Cách đấu motor 3 pha thành 1 pha
Trong đó:
Ipha đm chính là dòng điện định mức của động cơ
UL: điện áp nguồn 1 pha mà động cơ sẽ hoạt động khi đấu 1 pha
K là hệ số tính toán phụ thuộc vào từng sơ đồ đấu dây cụ thể:
Sơ đồ hình 1: k=4800
Sơ đồ hình 2: k=2800
Sơ đồ hình 3: k=1600
Sơ đồ hình 4: k=2740
Bước 2: tính điện áp tụ điện làm việc UC> 1.5 UL
Bước 3: tính điện dung tụ điện khởi động
Ckđ = (2-3)CLV
Tính trị số tụ điện theo kinh nghiệm
Với những động cơ chạy lưới 220V thì cứ 1kV thì lại có CLV= 65 Mf
Ví dụ: động cơ 3 pha 220/380V, 0.6kW đấu lại chạy 1 pha 220V thì phải sử dụng tụ điện có điện dung:
CLV = 70×0.6 = 39mF
Ckđ = (2-3)CLV = (78-117)mF
Ví dụ: một động cơ 3 pha có công suất 1kW, điện áp 220/380V dòng điện 4.2/4.2 A. Hãy đấu lại để sử dụng ở mạng  pha 220V.
Giải:
Theo như kinh nghiệm:
CLV = 65 mF
Ckđ = (2-3)CLV = (130-195) mF
Hai tụ này là tụ dầu có Uc > 380V
Theo công thức ta chọn sơ đồ:
Với hình 1:
Cách đấu motor 3 pha thành 1 pha
Với hình 3:
Cách đấu motor 3 pha thành 1 pha

Cách kết nối thường trực đối với động cơ trong đấu motor 3 pha thành 1 pha

Trong thực tế thì động cơ 3 pha thường sẽ được kết nối theo 2 cách đó là kết nối hình sao và kết nối hình tam giác. Vì thế, để có thể đơn giản hóa việc chuyển đổi động cơ 3 pha sử dụng trong lưới điện 1 pha EvnBamBo sẽ hướng dẫn cách kết nối chỉ cần với 1 tụ điện. Thường trực với động cơ 3 pha đẻ nó có thể hoạt động được với điện áp 1 pha. Cách đảo chiều quay động cơ, ước tính, tính toán điện dụng của tụ điện thích hợp.
Kết nối tụ thường trực với động cơ đấu hình tam giác
Chúng ta cần phải lắp đặt tụ điện kết nối tam giác như hình vẽ sau:
Ký tự * -> thay đổi kết nối giữa đầu nối sao của tụ điện cho phép đảo chiều quay của động cơ.
Cách đấu motor 3 pha thành 1 pha
kết nối tụ thường trực với động cơ được đấu hình sao
Chúng ta cần phải lắp đặt tụ điện kết nối hình sao như hình vẽ sau đây.
Ký tự * -> thay đổi kết nối giữa đầu nối sao của tụ điện cho phép đảo chiều quay của động cơ.
Cách đấu motor 3 pha thành 1 pha
Cách chọn tụ thường trực
Cách đấu motor 3 pha thành 1 pha
Điều này tương đối quan trọng do nếu chúng ta chọn tụ điện có điện dung không phù hợp tức là có quá thấp hoặc quá cao sẽ ảnh hưởng tới hiệu suất của động cơ đồng thời có thể làm cháy cuộn dây của động cơ.
Dưới đây, chính là bảng tham khảo giá trị điện dung của tụ điện. Bạn cần xem xét kỹ điện áp làm việc cũng như điện áp kết nối để tránh làm hư hỏng động cơ hay bản thân tụ điện.
Trên đây là cách để đấu động cơ điện 3 pha thành 1 pha. Hi vọng bài viết này sẽ mang lại những thông tin hữu ích cho bạn.
CÁC TIN KHÁC
Hotline hỗ trợ
Gọi để được tư vấn về sản phẩm, dịch vụ:
Fanpage chính thức của TỔNG KHO CÁP ĐIỆN. Nơi đăng tải các hình ảnh,hoạt động, của Việt Đức
Tìm hiểu thêm về TỔNG KHO CÁP ĐIỆN qua các video giới thiệu của chúng tôi
Theo dõi TỔNG KHO CÁP ĐIỆN Twitter
Follow
Zalo
090.215.2222
Mr. Vinh